This is an archived course. A more recent version may be available at ocw.mit.edu.

 

Lecture 9

Lectures: 1 | 2 | 3 | 4-5 | 6 | 7 | 8 | 9 | 10 | 11 | 12 | 15 | 16 | 17 | 19 | 20 | 21 | 22 | 23 | 26

Electrostatic Interactions

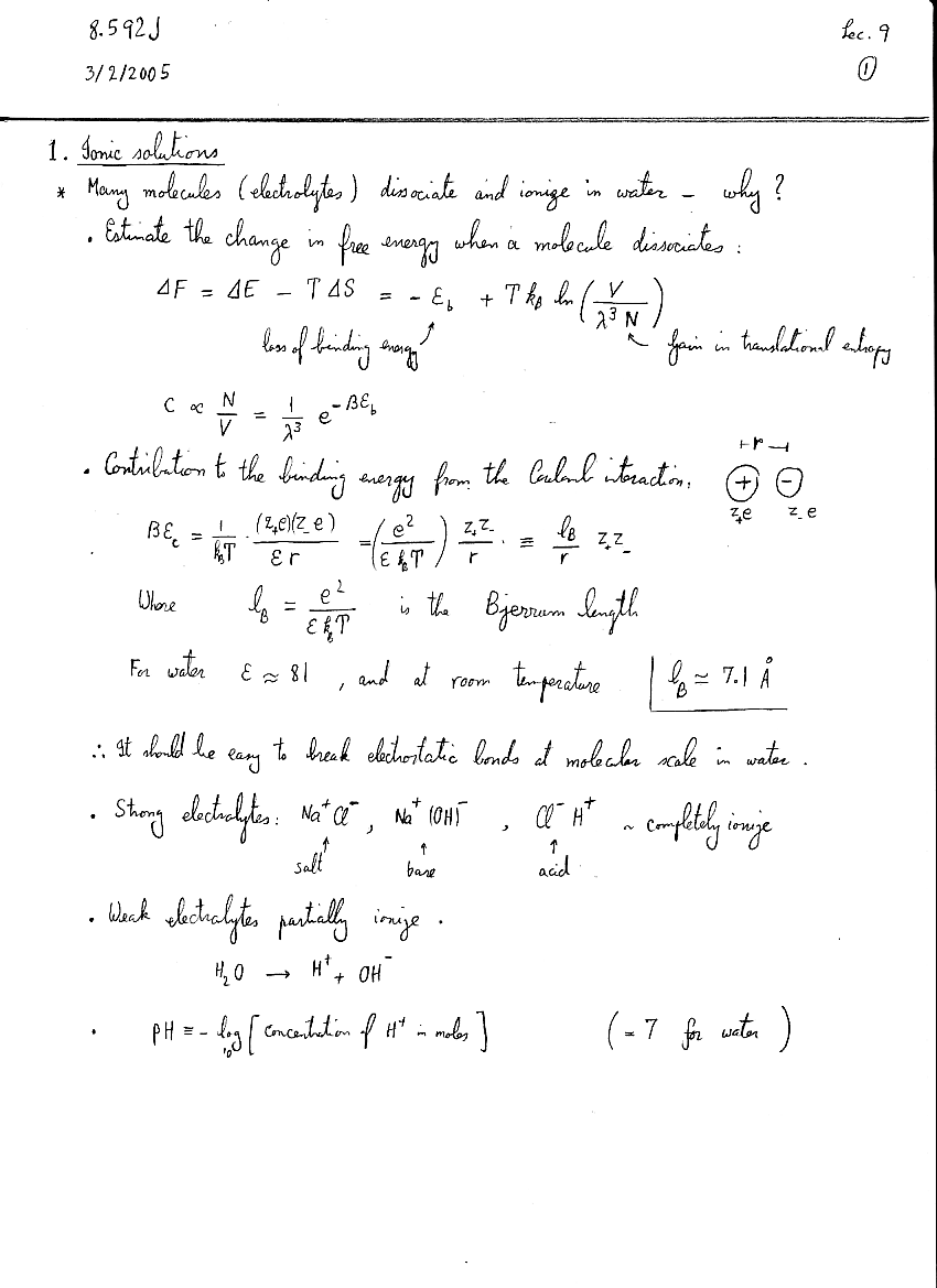
  1. Ionic Solutions:
    • Why do Electrolytes Dissociate (Ionize) in Water?
    • The Bare Coulomb Interaction and the Bjerrum Length (Lecture Notes, Page 1 (GIF))
    • Acids, Bases, and Salts
    • The Importance of Coulomb Repulsion in Biological Systems
    • Macroions, Counterions, Salt Ions
    • Restricted Partition Function (Lecture Notes, Page 2 (GIF))
  2. Statistical Treatments of Ionic Solutions:
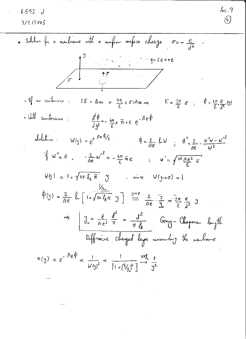
    • 'Mean-field' Potential and Charge Density via the Self-consistent Poisson-Boltzmann Equation (Lecture Notes, Page 3 (GIF))
    • Dissociation of a Charged Membrane (Lecture Notes, Page 4 (GIF))
      • Solution of the 1d Equation
      • The Gouy-Chapman Layer
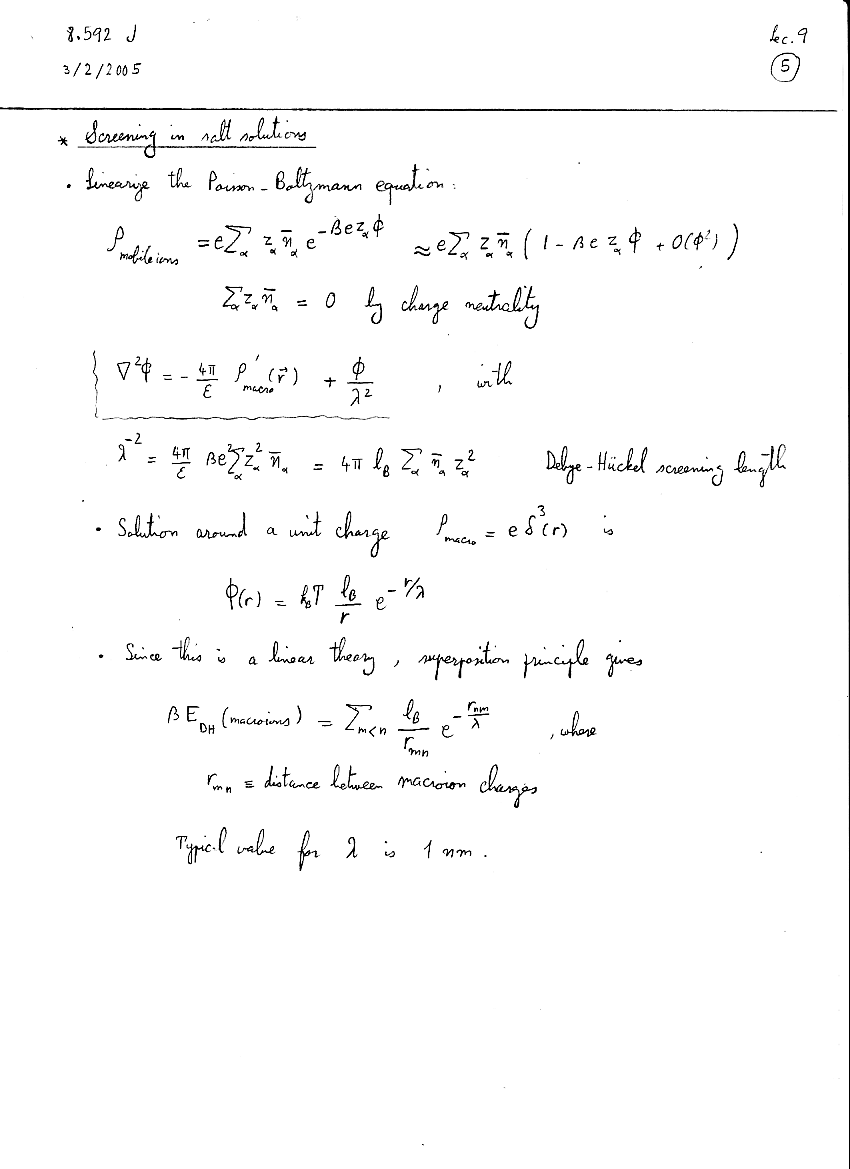
    • Screening in Salt Solutions (Lecture Notes, Page 5 (GIF))
      • Linearized Poisson-Boltzman
      • Debye-Hückel Screening
    • Importance of Fluctuations; Like Charges can Attract (PDF)
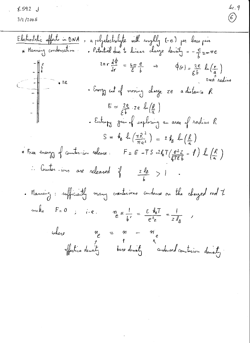
  3. Electrostatics of Charged DNA
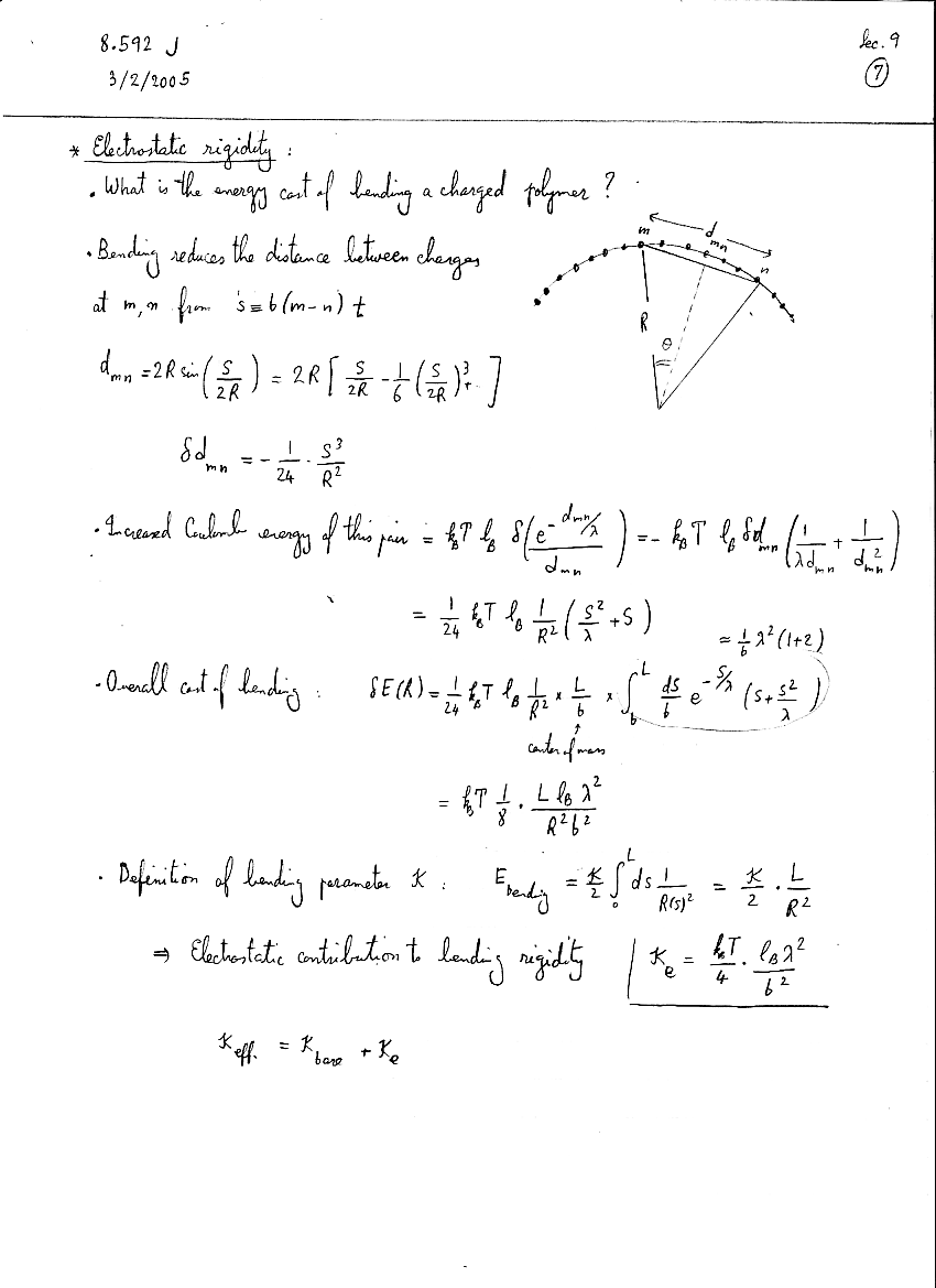
    • Manning Condensation (Lecture Notes, Page 6 (GIF))
    • Bending Cost of a Charged Rod [Odijk, Skolnik, Fixman (OSF)] (Lecture Notes, Page 7 (GIF))

Some Related Links