This is an archived course. A more recent version may be available at ocw.mit.edu.

 

Lecture 23

Lectures: 1 | 2 | 3 | 4-5 | 6 | 7 | 8 | 9 | 10 | 11 | 12 | 15 | 16 | 17 | 19 | 20 | 21 | 22 | 23 | 26

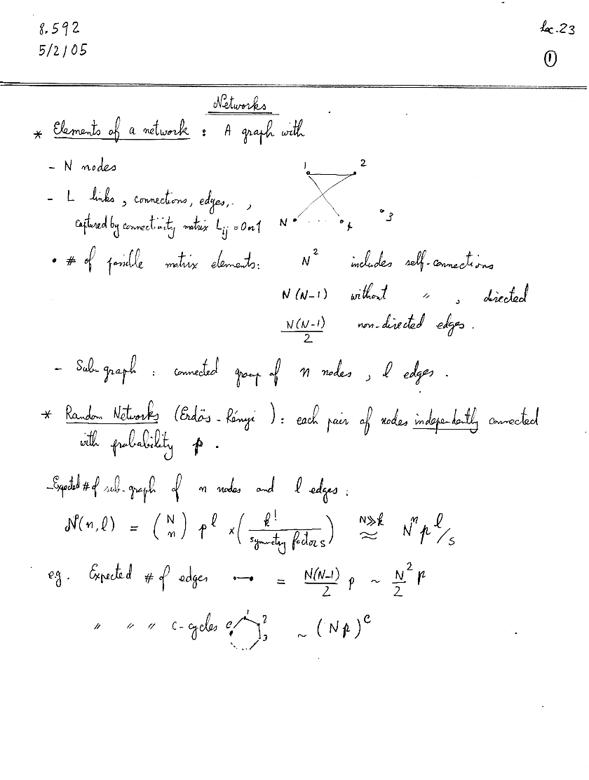
Networks

  1. Introduction to Networks:
    • Random (Erdös-Rényi) Networks Page 1 (GIF) of Lecture Notes)
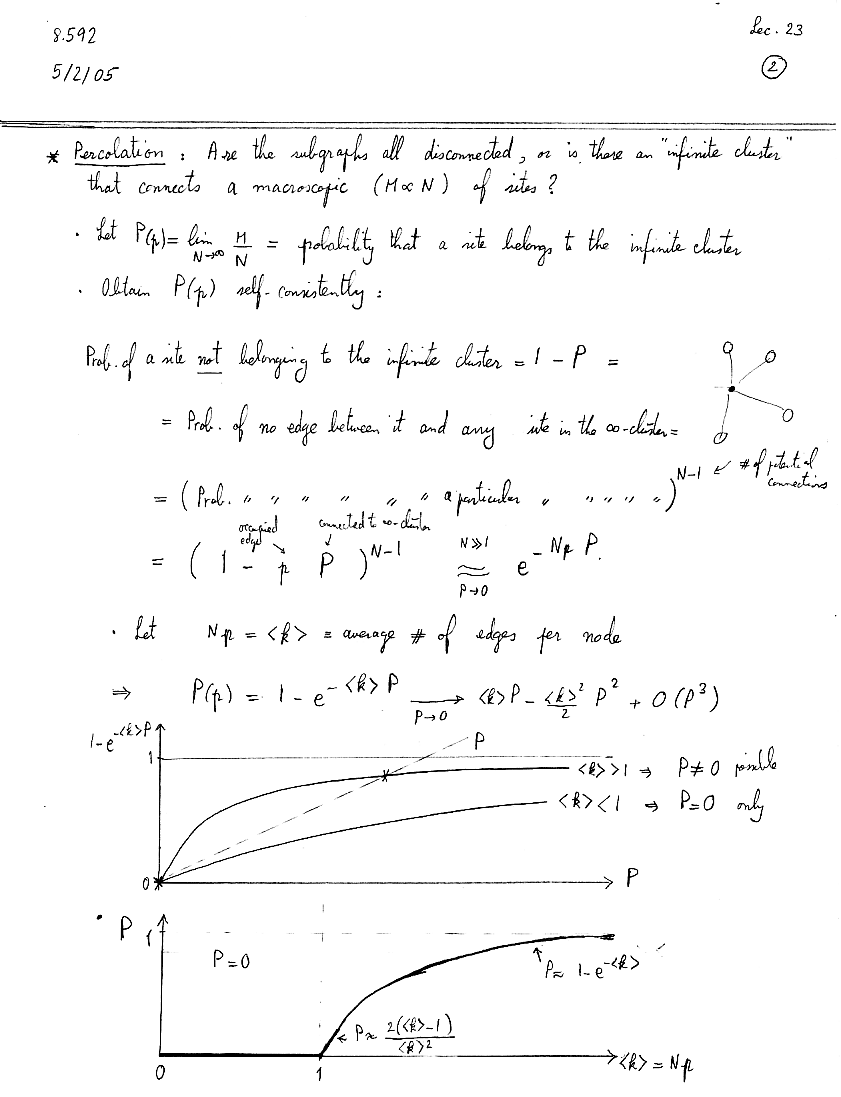
    • Percolation (Page 2 (GIF) of Lecture Notes)
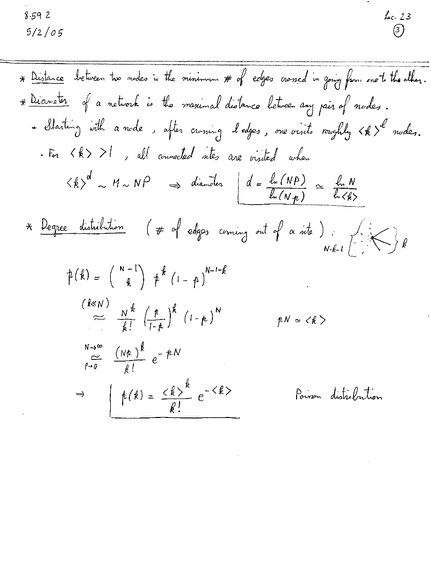
    • Distance, Diameter, and Degree Distribution (page 3 (GIF) of Lecture Notes)
  2. Scale Free Networks:
    • Examples from the Colloquium by A.-L. Barabasi:
      • The World Wide Web - Description (GIF) and Results (GIF)
      • Food Web (GIF)
      • Yeast Protein Network (GIF)
      • Metabolic Network (GIF)
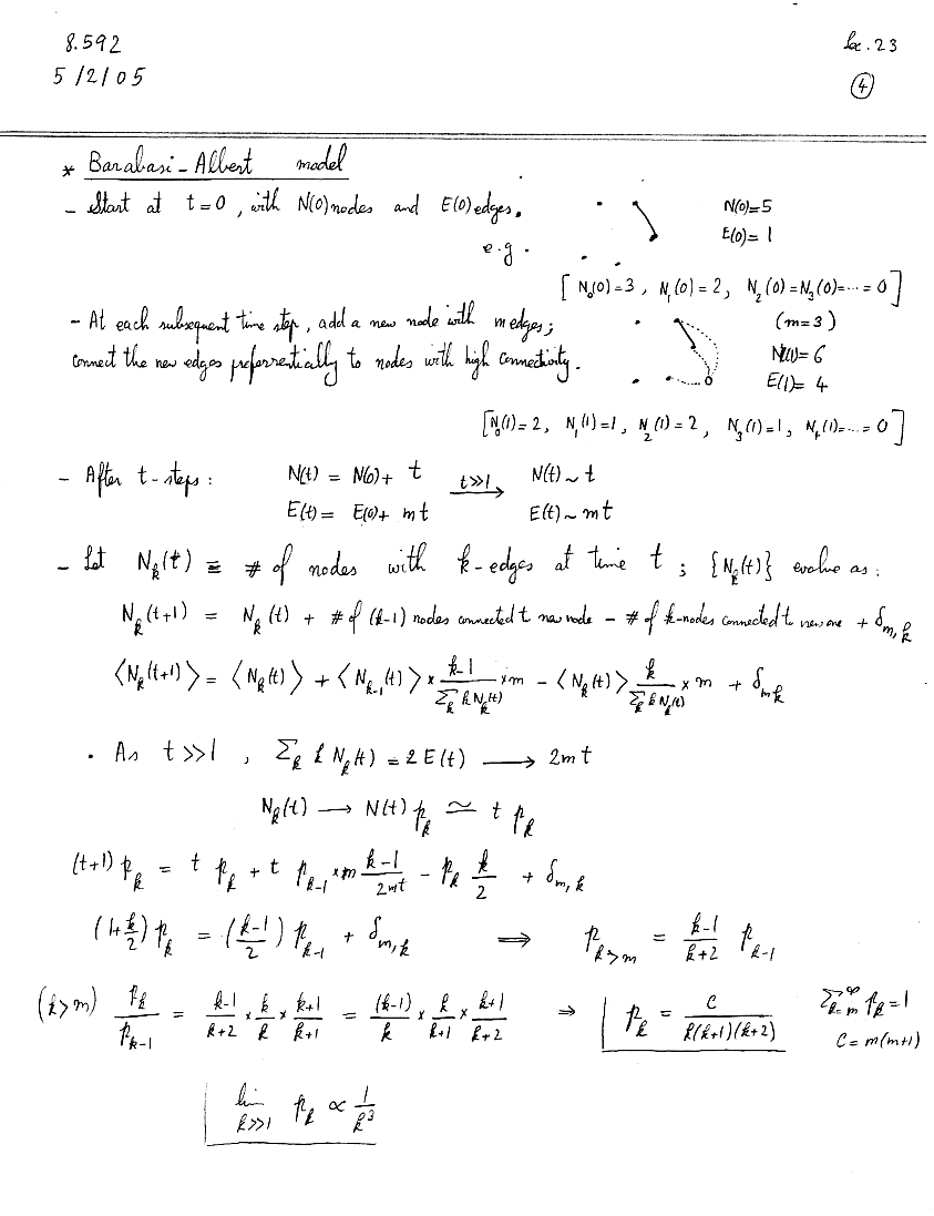
    • The Degree Distribution of the BA Model (Page 4 (GIF) of Lecture Notes)
  3. Dynamics on Networks: (Page 5 (GIF) of Lecture Notes)
    • Node Variables Evolving According to Inputs from Connected Nodes
    • Examples - Chemical Flux Balance Equations, Neural Networks
    • Possible Collective Outcomes: Fixed Points, Temporal Oscillations, Spatial Patterns, ...
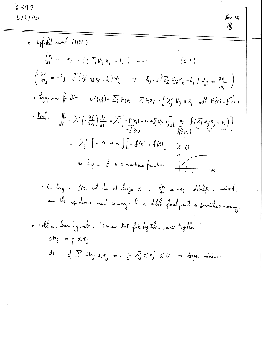
  4. Some Conditions for Existence of Fixed Point Solutions: (Page 6 (GIF) of Lecture Notes)
    • One Dimensional Systems - Stability, Noise
    • Gradient Descent in Higher Dimensional Systems
    • Hopfield, J. J. "Neurons with Graded Response Have Collective Computational Properties like Those of Two-State Neurons." Proceedings of the National Academy of Sciences of the United States of America 81, no. 10 (May 15, 1984): 3088-3092. (Part 1: Biological Sciences.) (Page 7 (GIF) of Lecture Notes)

Some Related Links

Metabolic Networks

Neural Networks