This is an archived course. A more recent version may be available at ocw.mit.edu.

 

Lecture 7

Lectures: 1 | 2 | 3 | 4-5 | 6 | 7 | 8 | 9 | 10 | 11 | 12 | 15 | 16 | 17 | 19 | 20 | 21 | 22 | 23 | 26

Significance of Aligned Sequences

  1. Sequence Alignment
    • Inputs:
      • Explicit - Two Sequences {a1, a2,...., am} and {b1, b2,...., bn} (e.g. Query and Database)
      • Implicit - A Scoring Procedure, e.g. Pairwise Scores s(ai,bj) and Gap Costs
    • Alignment Algorithm: Global, Local, Gapped, Gapless
    • Output: Matching (Sub)sequences with an Overall Score S.
    • Significance: What is the Probability of Getting a Score S by Chance?
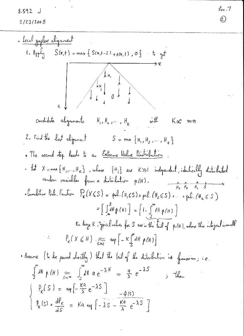
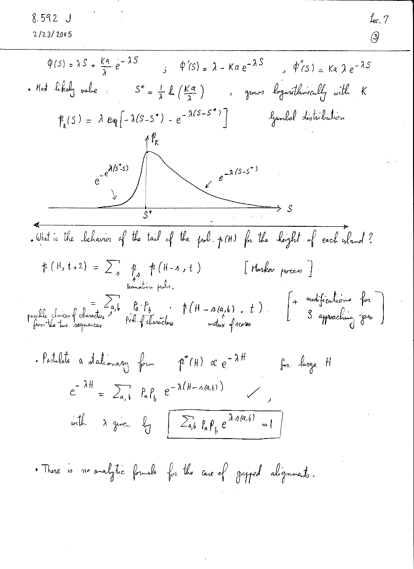
  2. Statistics of Gapless Local Alignments:
  3. Gapped Alignments and Statistical Physics:
    • Kardar, Mehran, and Yi-Cheng Zhang. "Scaling of Directed Polymers in Random Media." Physics Review Letters 58, no. 20 (May 18, 1987). (Page 4 (GIF) of Notes)
    • Dynamic Programming Method for Sequence Alignment (Example)