This is an archived course. A more recent version may be available at ocw.mit.edu.

 

Lecture 26

Lectures: 1 | 2 | 3 | 4-5 | 6 | 7 | 8 | 9 | 10 | 11 | 12 | 15 | 16 | 17 | 19 | 20 | 21 | 22 | 23 | 26

 

Dynamic Behaviors

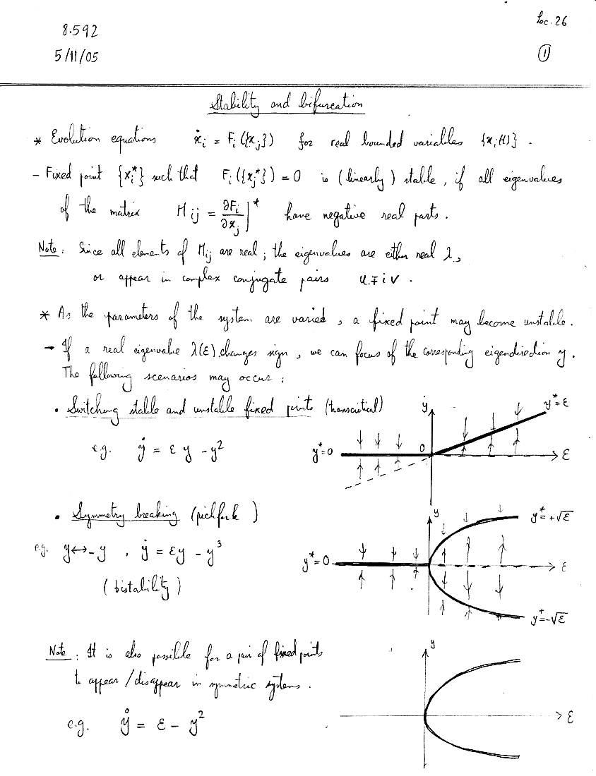
  1. Stability of Fixed Points:
    • Linear Stability Matrix; Eigenvectors and Eigenvalues (Routh-Hurwitz Theorem)
    • Loss of Stability from a Real Eigenvalue; Stability Exchange, Bifurcation (Page 1 (GIF))
    • Loss of Stability from Imaginary Eigenvalues; Poincare Cycles
    • Simple (Harmonic) Oscillator, and Complex Representation (Page 2 (GIF))
  2. Biochemical Clocks:
  3. Synchronization:
    • Examples: Heart Pacemaker Cells, Fireflies, Cycada.
    • The Kuramoto Model (Java® Applet by Albert Diaz-Guilera)
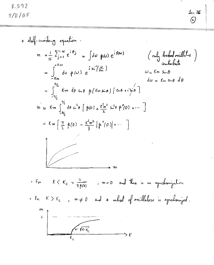
    • Collective Synchronization (Page 3 (GIF) and Page 4 (GIF) of Lecture Notes)
  4. Biological Patterns:
    • Morphogenesis is the Process Whereby a Living Organism Develops Form and Structure, e.g.
    • Where do Spots Come From? Turing's Answer
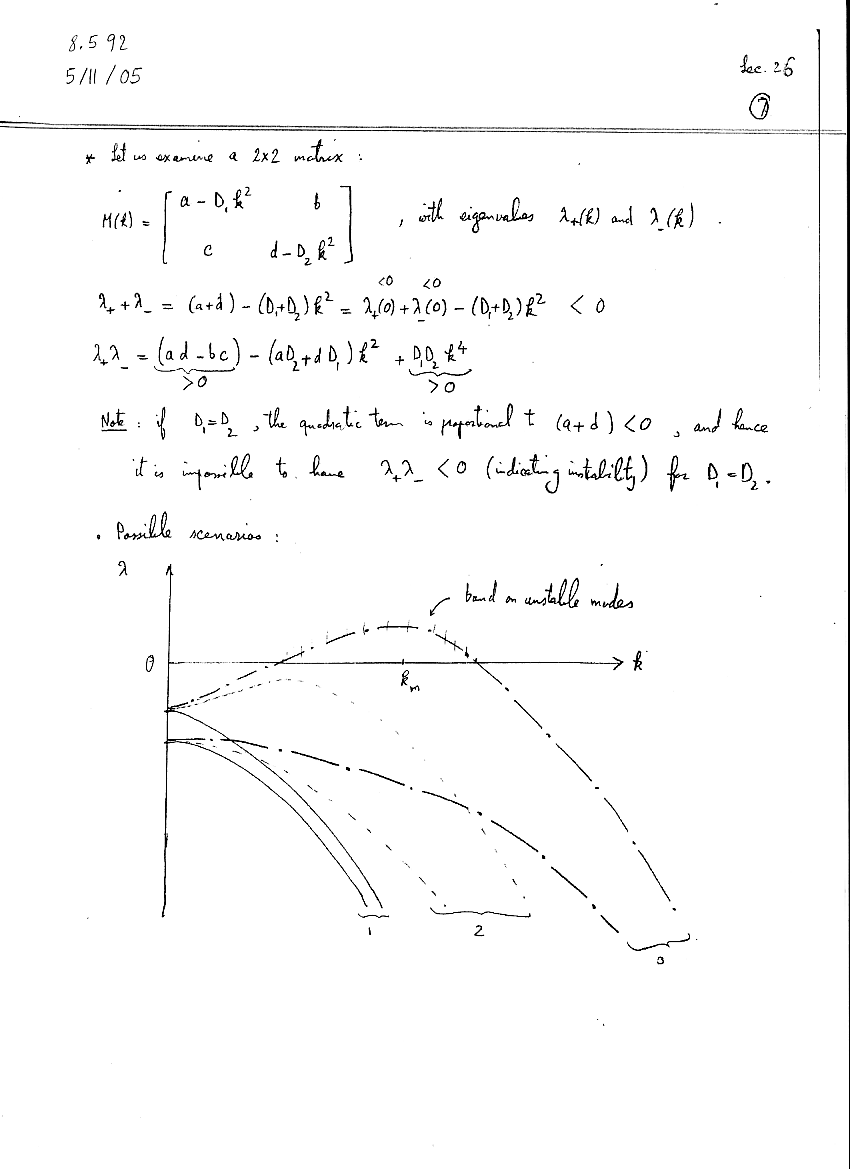
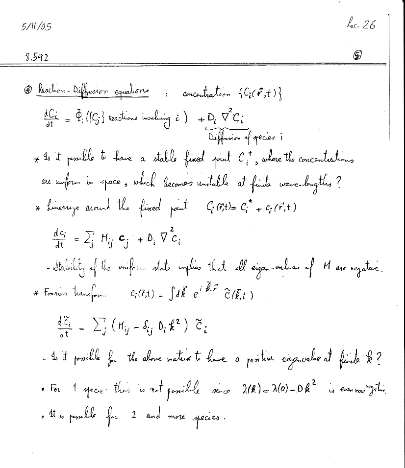
      • Reaction-Diffusion Equations (Page 5 (GIF) of Lecture Notes)
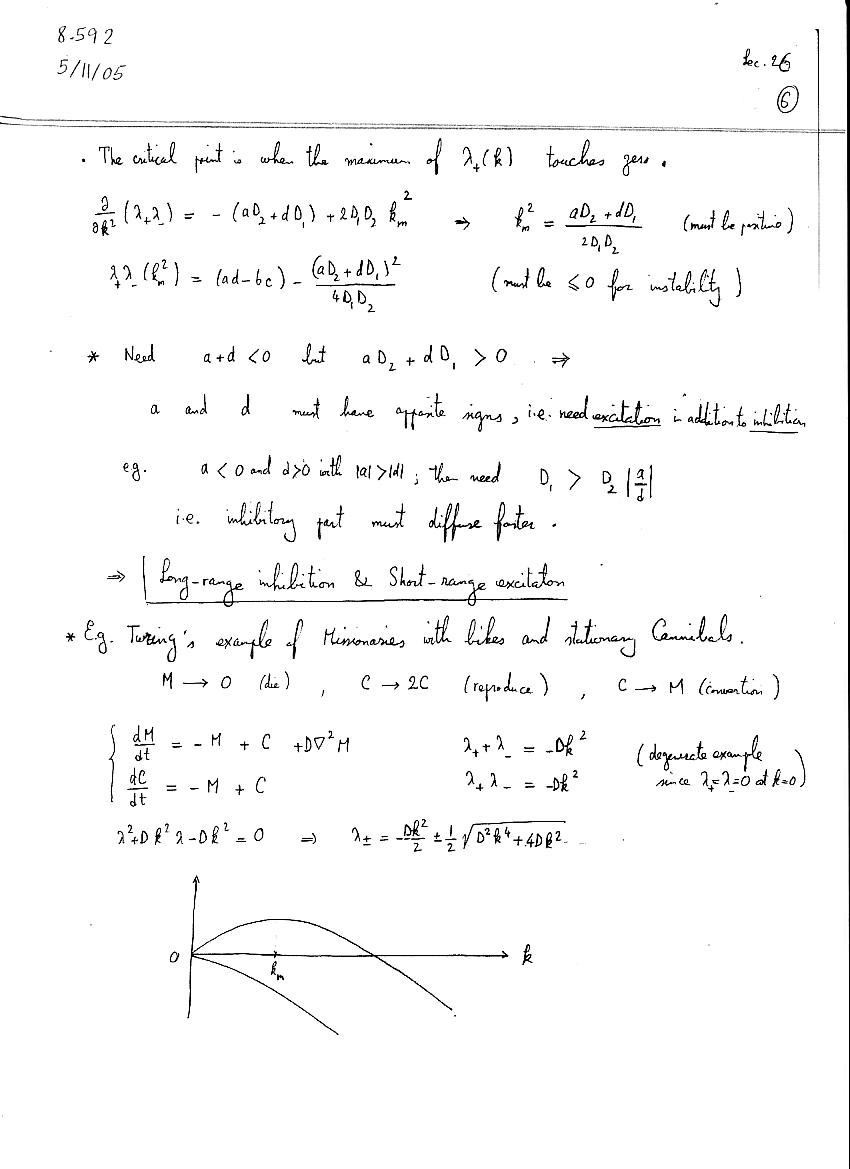
      • Constraints for a Finite Wave-length Instability (Page 6 (GIF) of Lecture Notes)
      • Long-range Inhibition and Short-range Excitation (Page 7 (GIF) of Lecture Notes)

Neural Networks

Some Related Links (Biological Clocks)

Some Related Links (Morphogenesis)