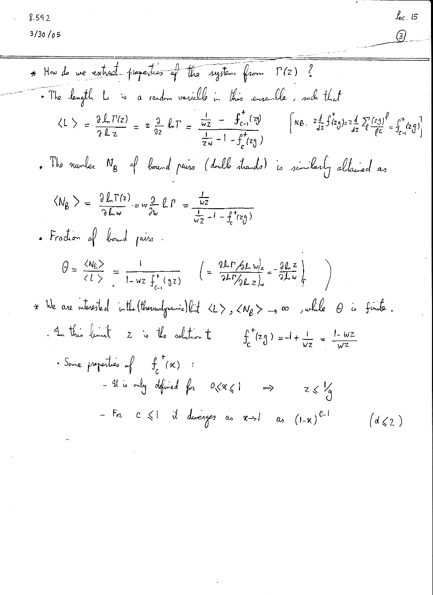
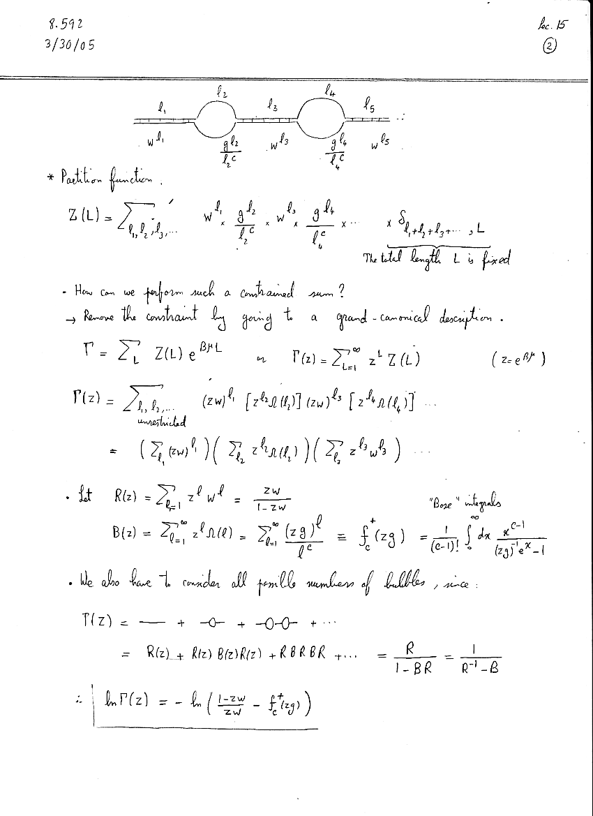
This is an archived course. A more recent version may be available at ocw.mit.edu.

 

Lecture 15

Lectures: 1 | 2 | 3 | 4-5 | 6 | 7 | 8 | 9 | 10 | 11 | 12 | 15 | 16 | 17 | 19 | 20 | 21 | 22 | 23 | 26

DNA Denaturation (Melting)

  1. Macroscopic Properties of DNA; Packaging into Chromatin (Eukaryotes)
  2. Microscopic Structure of DNA; the Four Nucleotides; Binding Energies
  3. Denaturation, Hybridization (Similarity); Renaturation (Zippering)
  4. (UV Absorption) Melting Curves for Medium and Long Chains; General Features and Theoretical Issues
  5. The Pair-stacking Model; (Poland, D., and H. A. Scheraga. Theory of Helix-Coil Transitions in Biopolymers. Burlington, MA: Academic Press, New York, 1970.)
  6. Theoretical Analysis of Homopolymer Denaturation (presentation by David Mukamel at ITP)
  7. Scanned Lecture Notes: Page 1 (GIF), Page 2 (GIF), Page 3 (GIF), Page 4 (GIF)
  • Meltsim is a package to calculate melting temperature of specified DNA sequences. (I could not check the presented Window® version.)
  • A DNA Guide from University of Michigan