This is an archived course. A more recent version may be available at ocw.mit.edu.

 

Lecture 3

Lectures: 1 | 2 | 3 | 4-5 | 6 | 7 | 8 | 9 | 10 | 11 | 12 | 15 | 16 | 17 | 19 | 20 | 21 | 22 | 23 | 26

Evolving Probabilities

  • Genetic Variations:

    What are the processes generating and maintaining such variations?

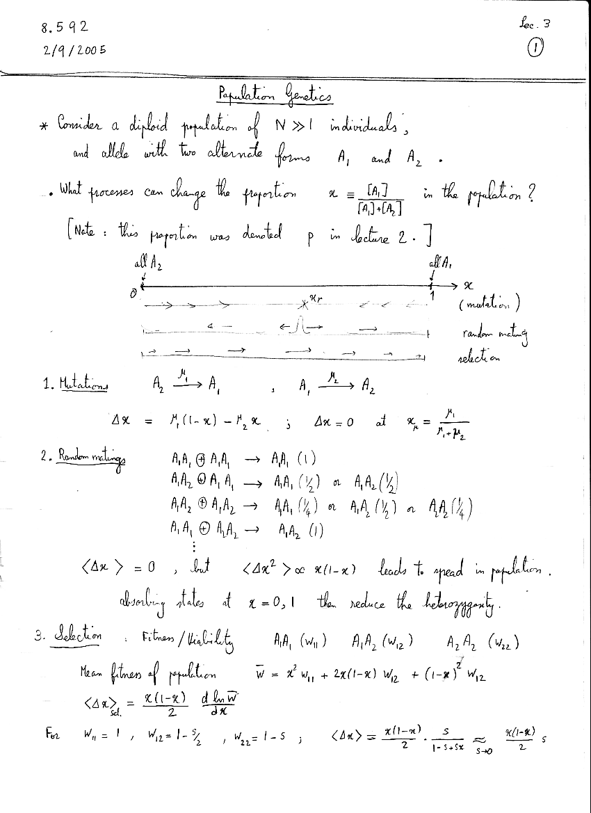
  • Elements of Population Genetics (GIF):

    • Mutations
    • Random Matings:
      • Hardy-Weinberg Equilibrium in very Large (Diploid) Populations
      • Genetic Drift in Finite Populations; Loss of Heterozygosity (Absorbing States)
    • Selection

    How does the probability distribution for an allele (alternate forms of a gene at a given locus) change with time?

  • Quantifying Evolving Probabilities:

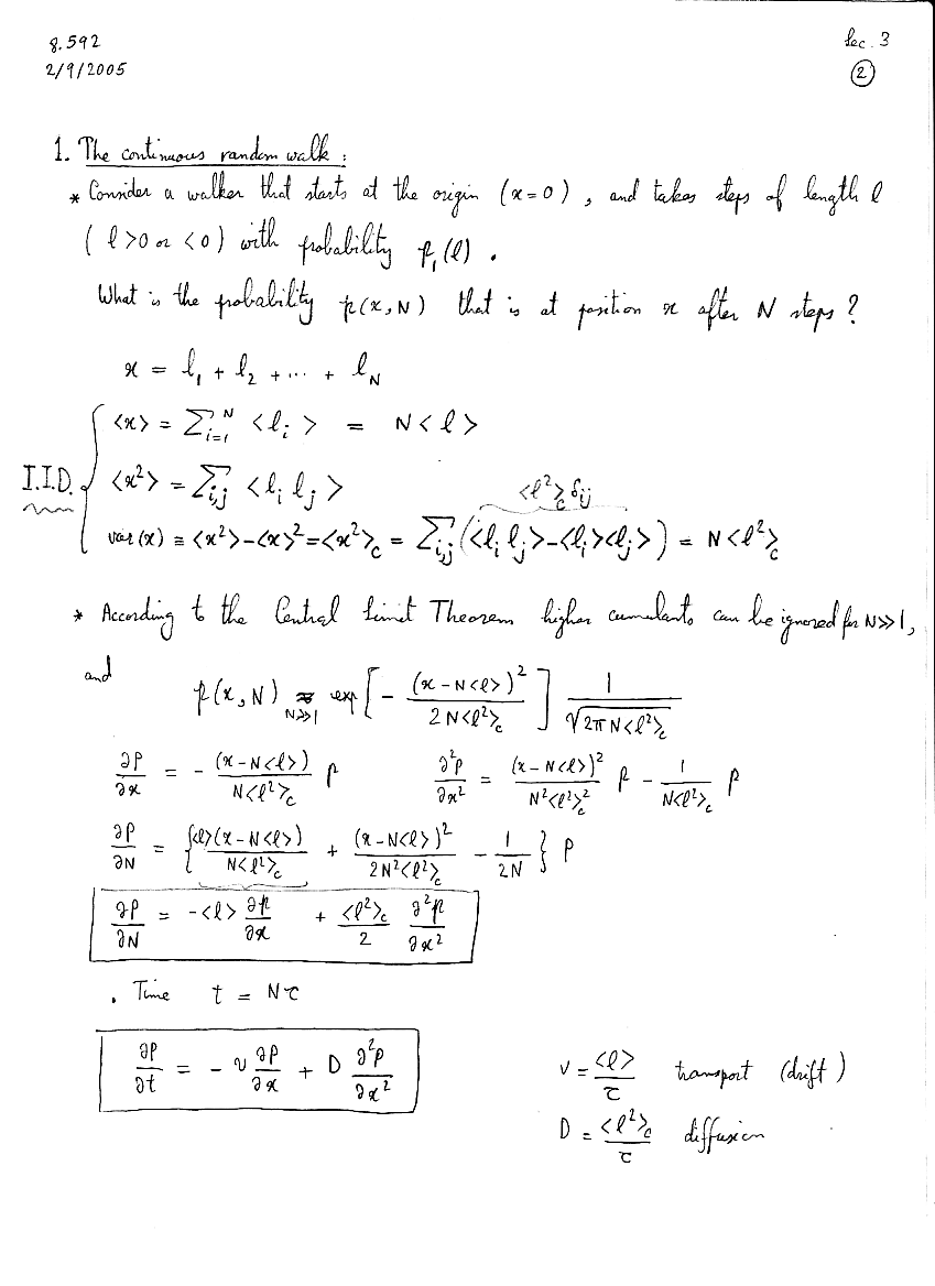
    • The Continuous Random Walk (GIF):
      • The Central Limit Theorem
      • The Diffusion Equation
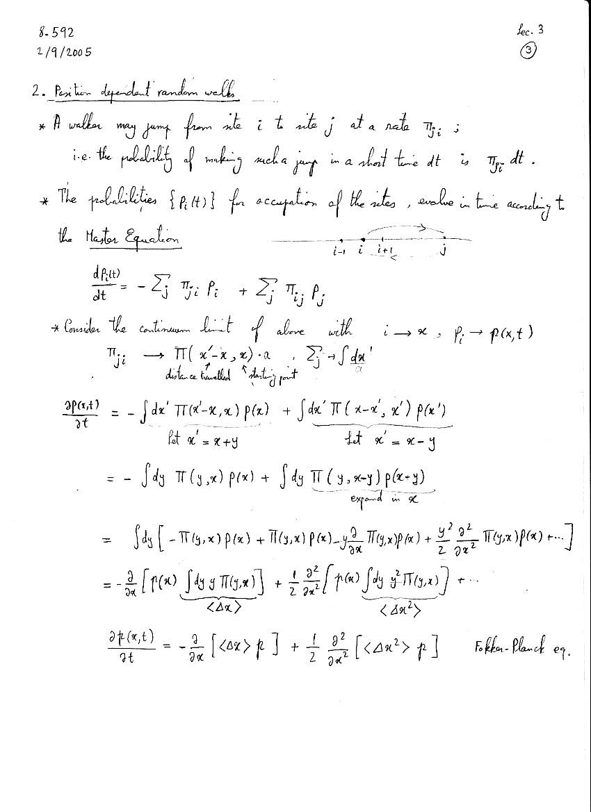
    • Position-dependent Random Walks (GIF):
      • The Master Equation for Discrete Jumps
      • The Fokker Planck Equation in the Continuum
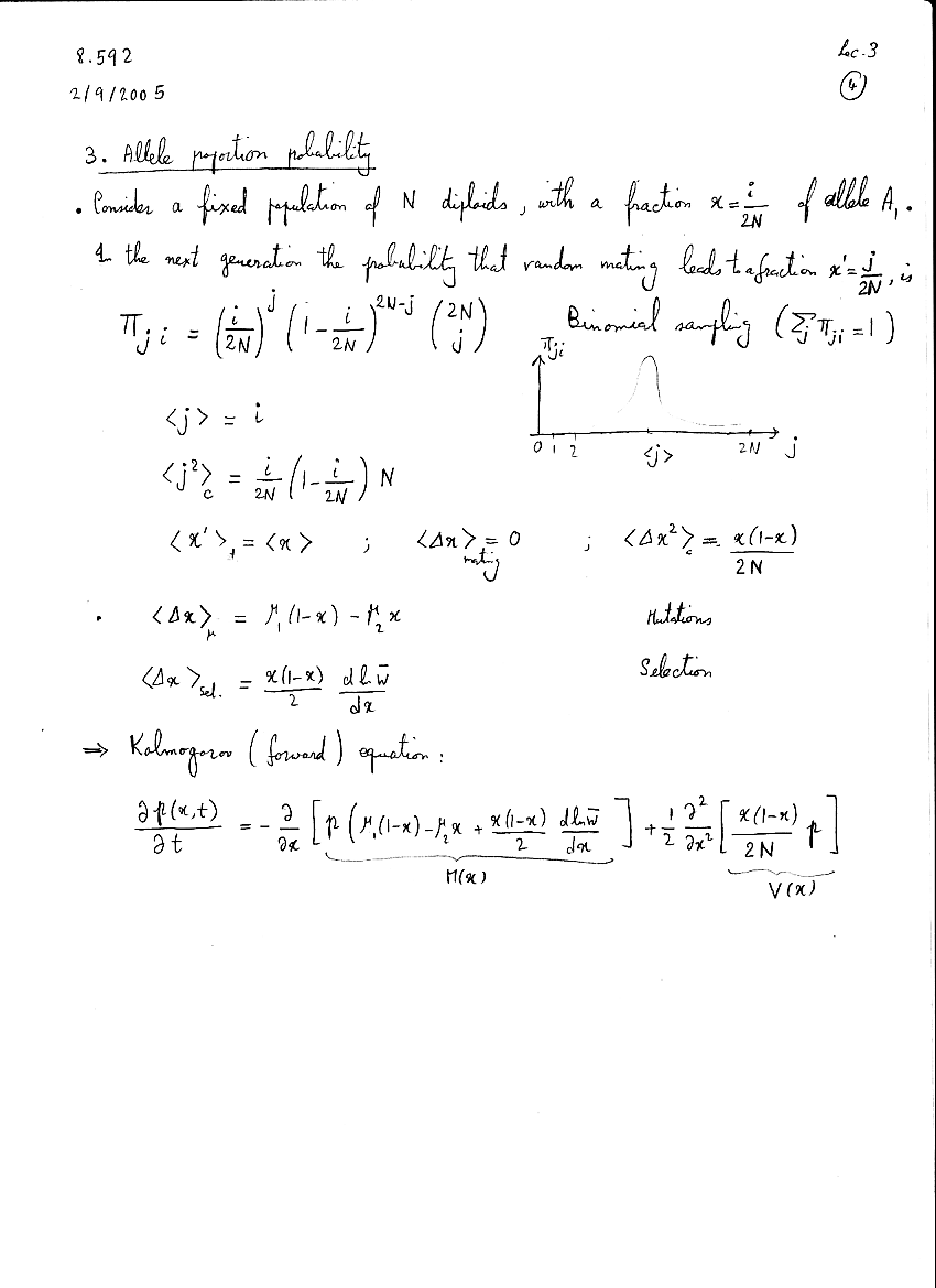
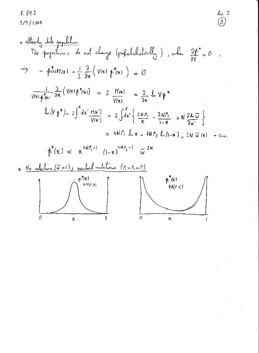
    • Probability of an Aallele in a Finite Population (GIF):
      • Binomial Sampling for Random Mating
      • The (forward) Kolmogorov Equation
      • Steady State Distributions (GIF)
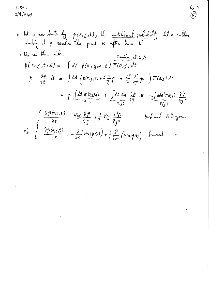
      • The Backward Kolmogorov Equation (GIF)
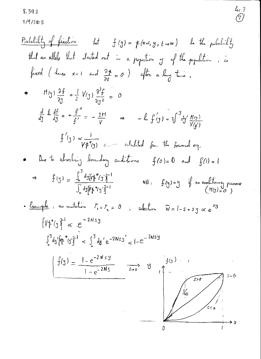
      • Probability of Fixation (GIF)