This is an archived course. A more recent version may be available at ocw.mit.edu.

 

Lecture 6

Lectures: 1 | 2 | 3 | 4-5 | 6 | 7 | 8 | 9 | 10 | 11 | 12 | 15 | 16 | 17 | 19 | 20 | 21 | 22 | 23 | 26

Recursive Schemes

  1. Precursors to Dynamic Programming (Another Introduction)
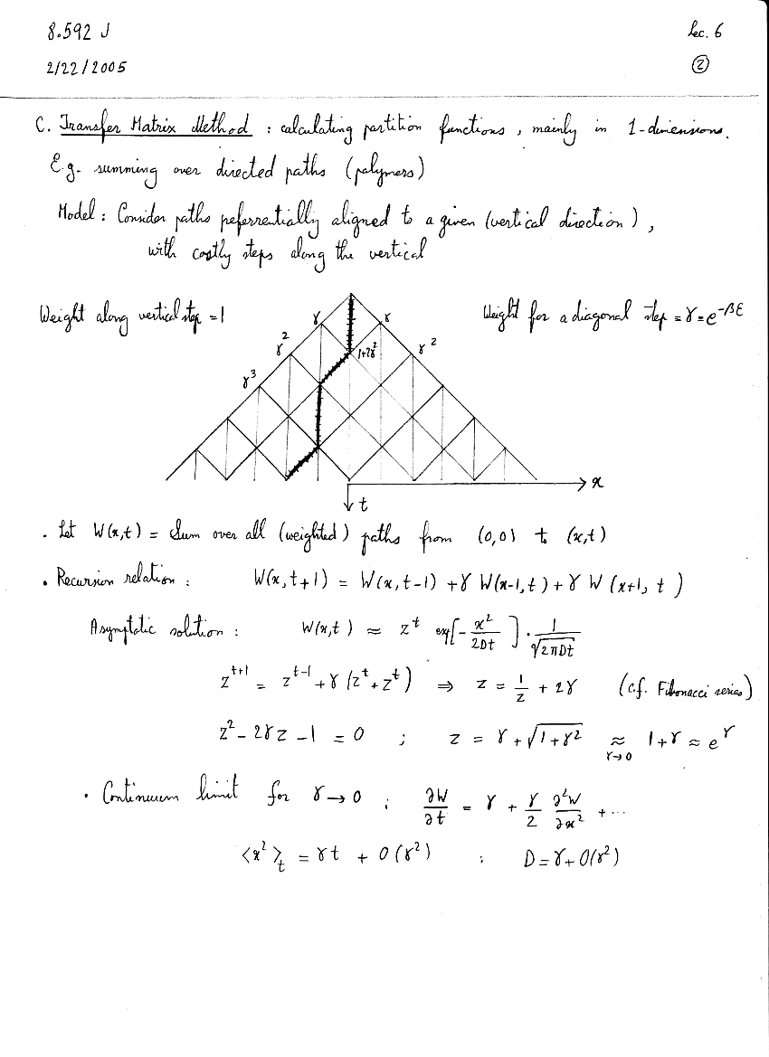
  2. Markov Processes and Transfer Matrices
    • Transition Matrix
    • Steady State
    • Approach to Asymptotics (Page 3 (GIF) of Notes)
  3. Sequence alignment