This is an archived course. A more recent version may be available at ocw.mit.edu.

 

Lecture 16

Lectures: 1 | 2 | 3 | 4-5 | 6 | 7 | 8 | 9 | 10 | 11 | 12 | 15 | 16 |17 | 19 | 20 | 21 |22 | 23 | 26

RNA Secondary Structure

  1. Chemical Structure and Function of RNA
  2. The 'RNA World' Hypothesis
  3. Structural Levels: Primary, Secondary, Tertiary; Experimental Methods
  4. Elements of Secondary Structure, and Representations without Psuedoknots
  5. Algorithms for Finding Optimal Secondary Structure: Nussinov, Zuker
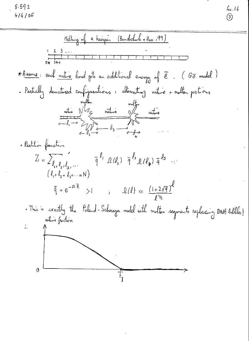
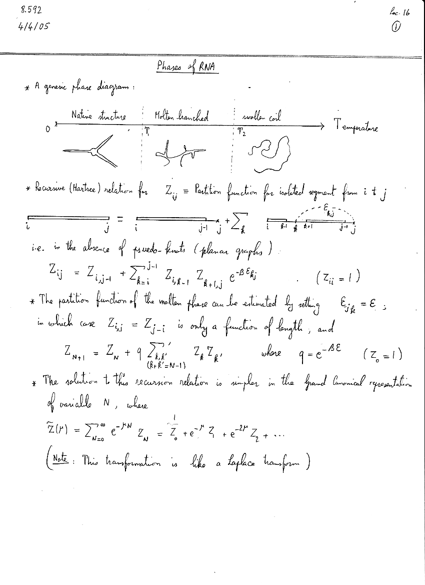
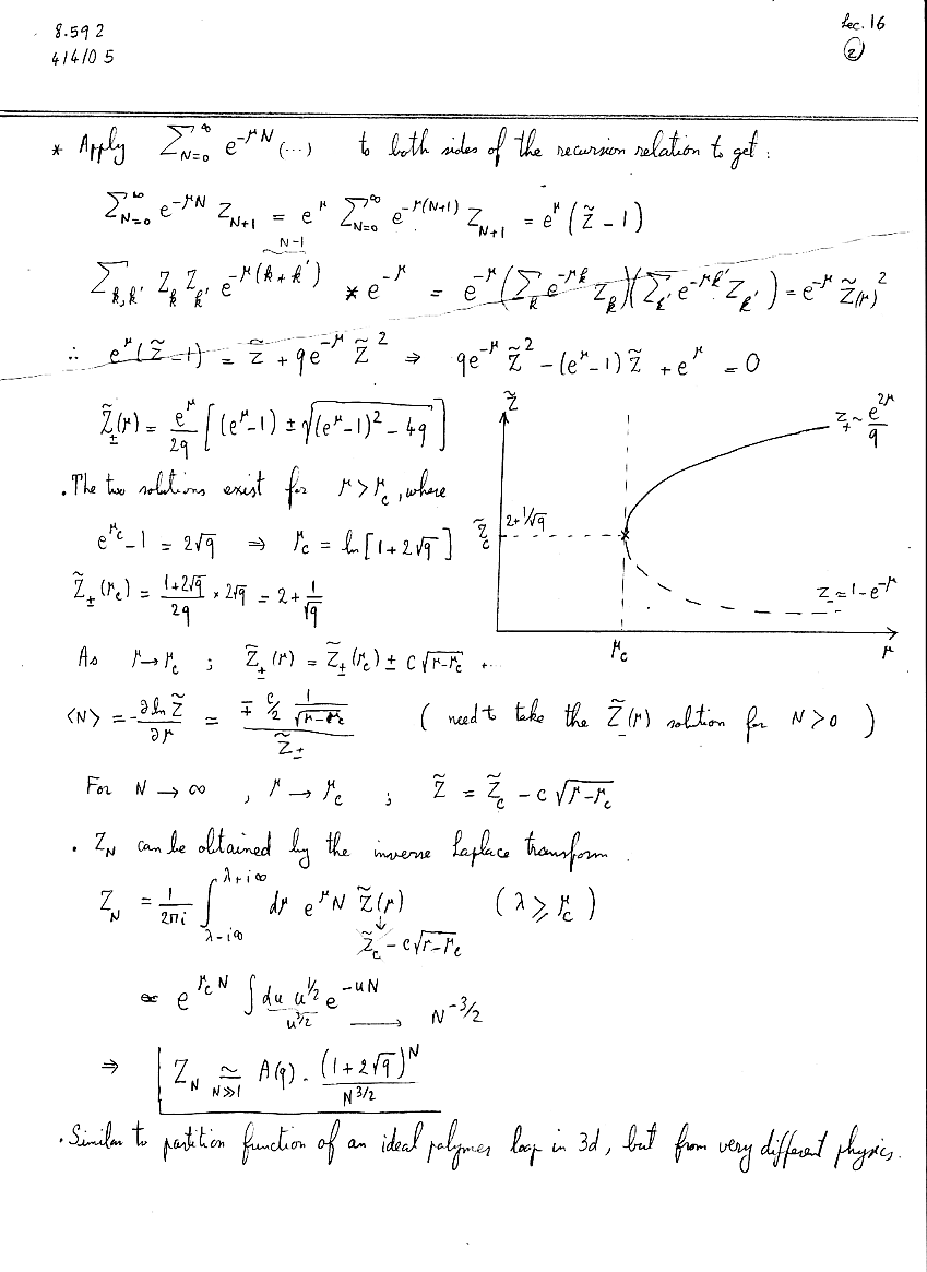
  6. Recursive (Hartree) Calculation of Partition Function, Heat Capacity, Phase Diagram
  7. Counting Secondary Structures (Lecture Notes: Page 1 (GIF), Page 2 (GIF), Page 3 (GIF)

Some Related Links