This is an archived course. A more recent version may be available at ocw.mit.edu.

 

Lecture 21

Lectures: 1 | 2 | 3 | 4-5 | 6 | 7 | 8 | 9 | 10 | 11 | 12 | 15 | 16 | 17 | 19 | 20 | 21 | 22 | 23 | 26

Membranes

  1. Membrane Structure and Function Cells are Enclosed by Membranes:
    • Lipids (Amphiphylic Phosphoglycerids) are the Principal Component
    • Self-assemply into Micelles and Bilayers
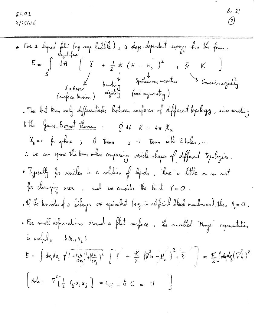
  2. The Canham-Helfrich Energy of a Membrane:
    • Differental Geometry: Principal, Mean, Gaussian Curvature of a Surface (Page 1 (GIF) of Lecture Notes)
    • Reparametrization Invariant Energy (Page 2 (GIF) of Lecture Notes)
    • Gauss-Bonnet Theorem
    • Vanishing Surface Tension; Why Bilayers form Vesicles? (Borders)
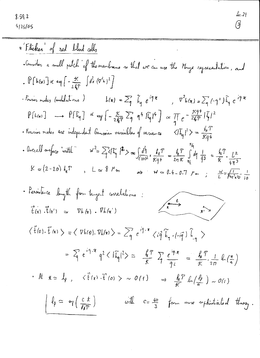
  3. Red Blood Cells (GIF):
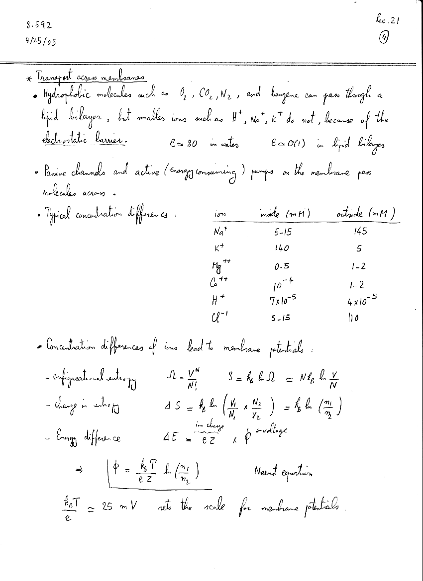
  4. Transport in and out of Cells:
    • Why do Oxygen and Benzene Pass Through, but Smaller Ions do Not?
    • Passive Ion Channels and Active Ion Pumps
    • Intracellular and Extracellular Concentrations
    • The Nernst Equation and Membrane Potentials (Page 4 (GIF) of Lecture Notes)

Some Related Links