This is an archived course. A more recent version may be available at ocw.mit.edu.

 

Lecture 10

Lectures: 1 | 2 | 3 | 4-5 | 6 | 7 | 8 | 9 | 10 | 11 | 12 | 15 | 16 | 17 | 19 | 20 | 21 | 22 | 23 | 26

Statistical Physics of Polymers

  1. Polymers and Thermal Fluctuations:
    • Homo/Hetero-polymers, Degree of Polymerization
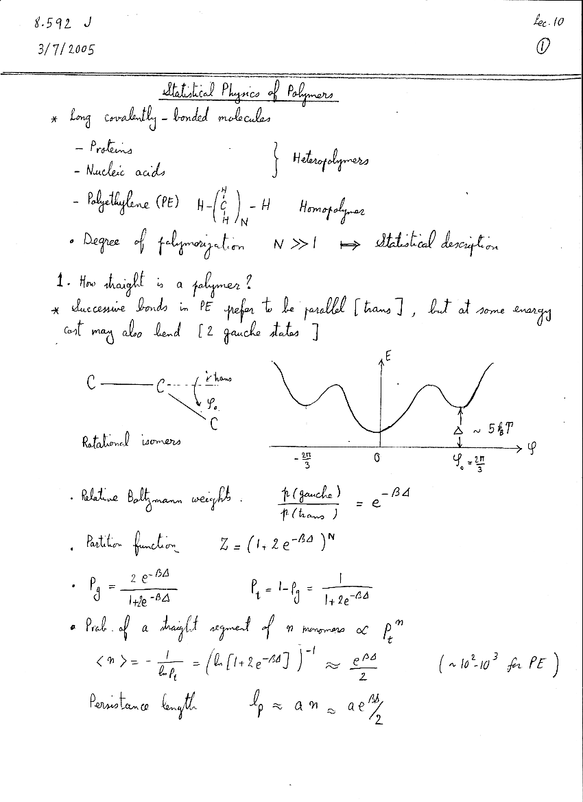
    • Thermal Excitation of Rotational Isomers (Lecture Notes, page 1 (GIF))
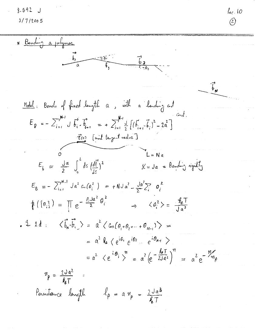
    • Bending Rigidity and Persistence Length (Lecture Notes, page 2 (GIF))
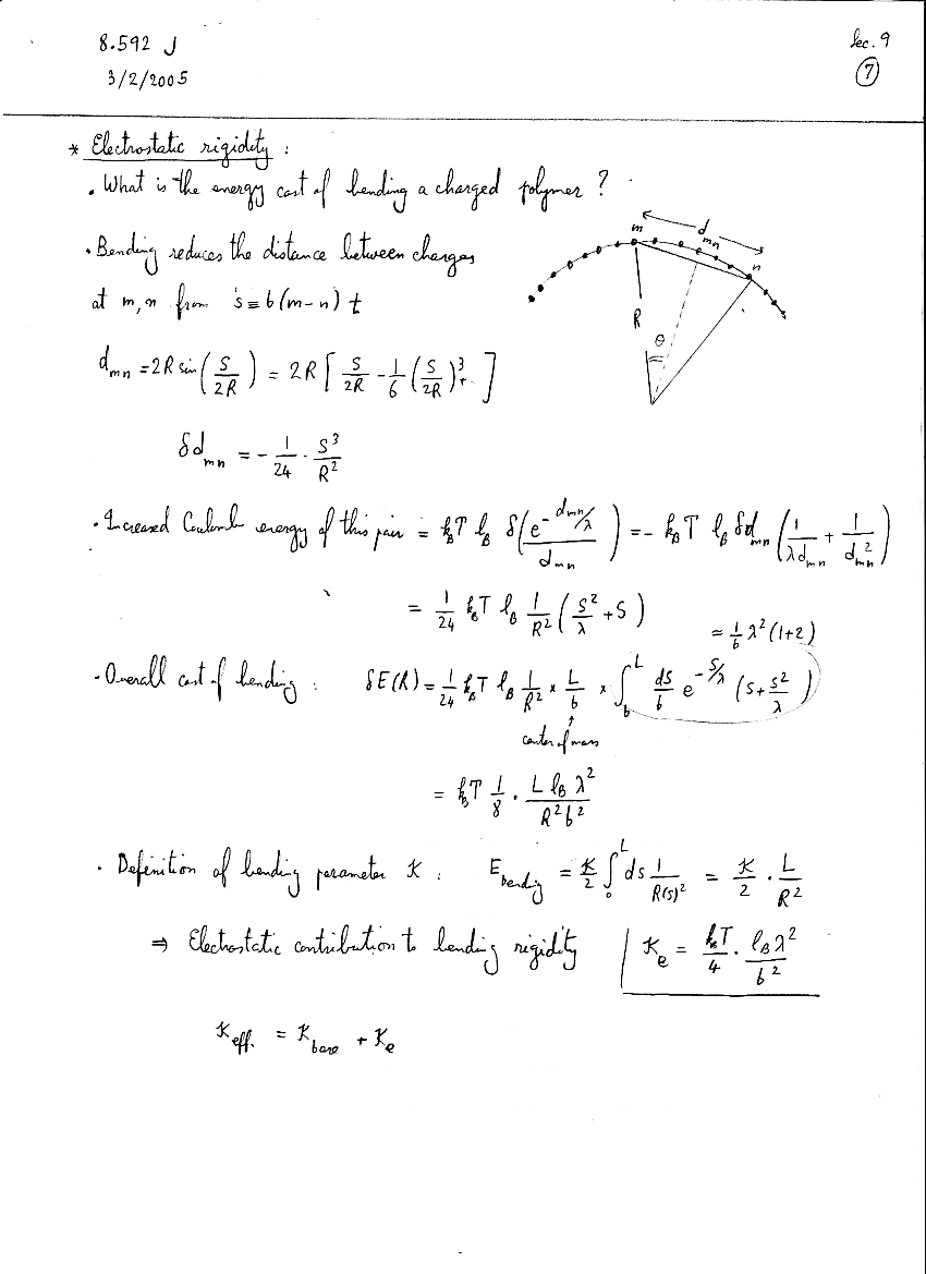
    • Bending a Charged Polymer [Odijk, Skolnik, Fixman (OSF)] (Lecture 9, page 7 (GIF))
  2. Entropic Elasticity:
    • Random Walks, Kuhn Length, and the Central Limit Theorem
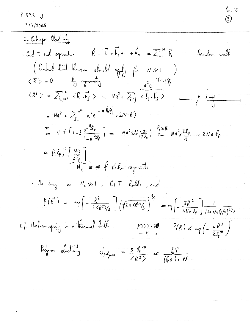
    • Scaling of Size (Lecture Notes, page 3 (GIF))
  3. Swollen (Coil) Polymers in Good Solvent:
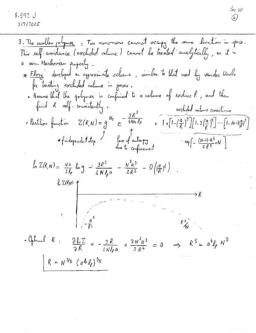
    • Mean-field Estimate of the Partition Function of a Self-avoiding Polymer (Lecture Notes, page 4 (GIF))
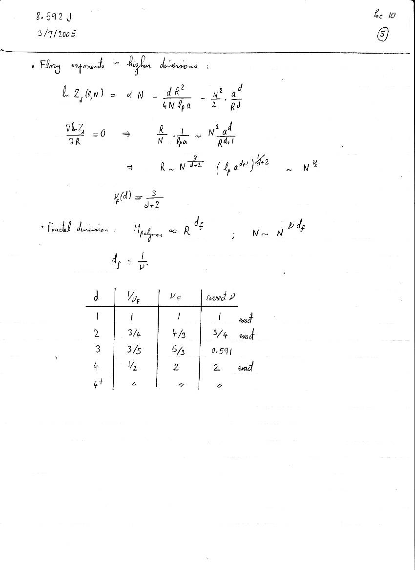
    • Flory Exponents, Fractal Dimension (Lecture Notes, page 5 (GIF))
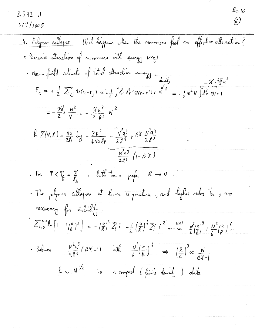
  4. Compact (Globular) State in Poor Solvent:
    • Attractive Interactions
    • Polymer Collapse, Theta-point (Lecture Notes, page 6 (GIF))