Lectures: 1 | 2 | 3 | 4-5 | 6 | 7 | 8 | 9 | 10 | 11 | 12 | 15 | 16 | 17 | 19 | 20 | 21 | 22 | 23 | 26
Molecular Motors
- Molecular Motors:
- General Scheme of Motor Transport with the Consumption of ATP (Page 1 (GIF) of Lecture Notes)
- Motion in a Noisy Environment:

Motion in a noisy environment.
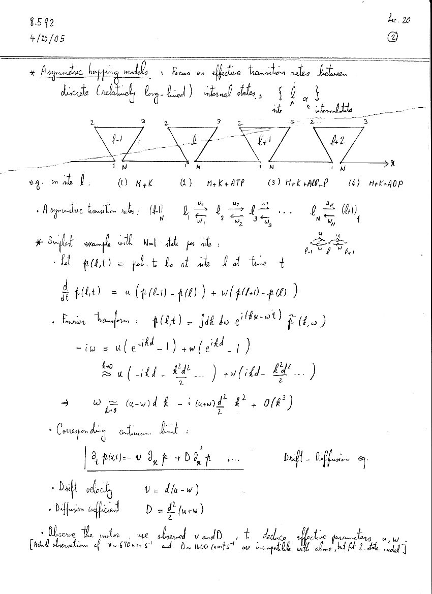
- Asymmetric Hopping Models:
- Fisher, M. E., and A. B. Kolomeisky. "The Force Exerted by a Molecular Motor." PNAS 96, no. 6597 (1999).
- Multiple Internal States
- Solution with One Internal State (Page 2 (GIF) of Lecture Notes)
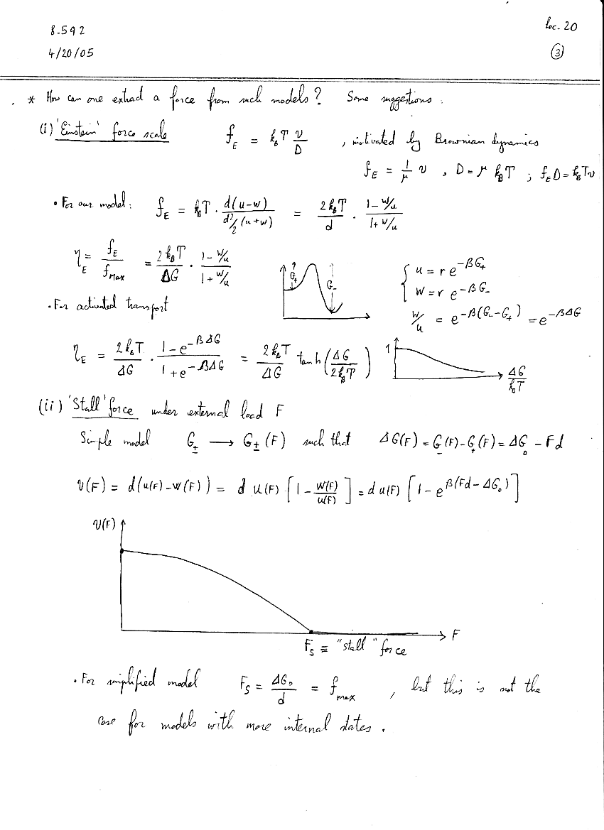
- Einstein Force, Stalling Force (Page 3 (GIF) of Lecture Notes)
- Capturing and Viewing Single Molecules:
- Theory of Brownian Motion (Lecture Notes (PDF))
Some Related Links