This is an archived course. A more recent version may be available at ocw.mit.edu.

 

Lecture 12

Lectures: 1 | 2 | 3 | 4-5 | 6 | 7 | 8 | 9 | 10 | 11 | 12 | 15 | 16 | 17 | 19 | 20 | 21 | 22 | 23 | 26

Phases of Polymers

  1. Interactions:
    • Excluded Volume; Role of Solvent (Lecture Notes, Page 1 (GIF))
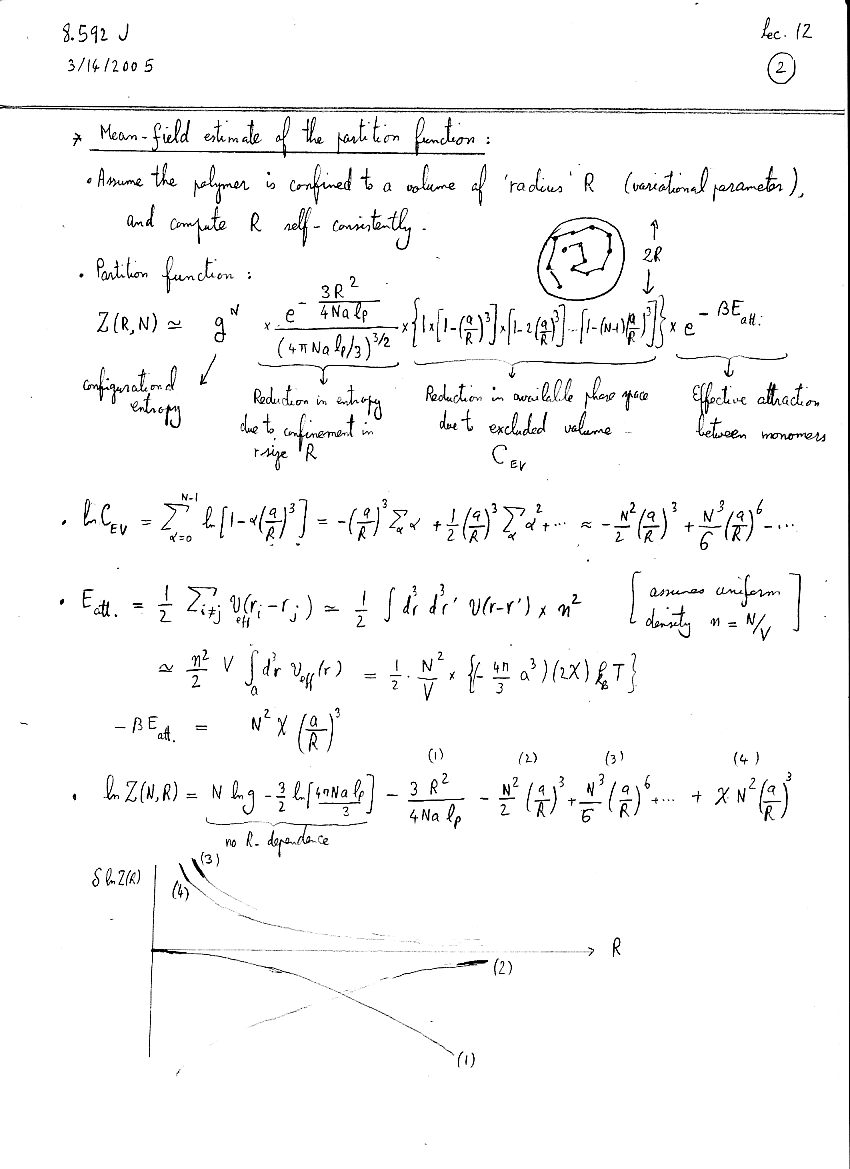
    • Mean-field Estimate of the Partition Function (Lecture Notes, Page 2 (GIF))
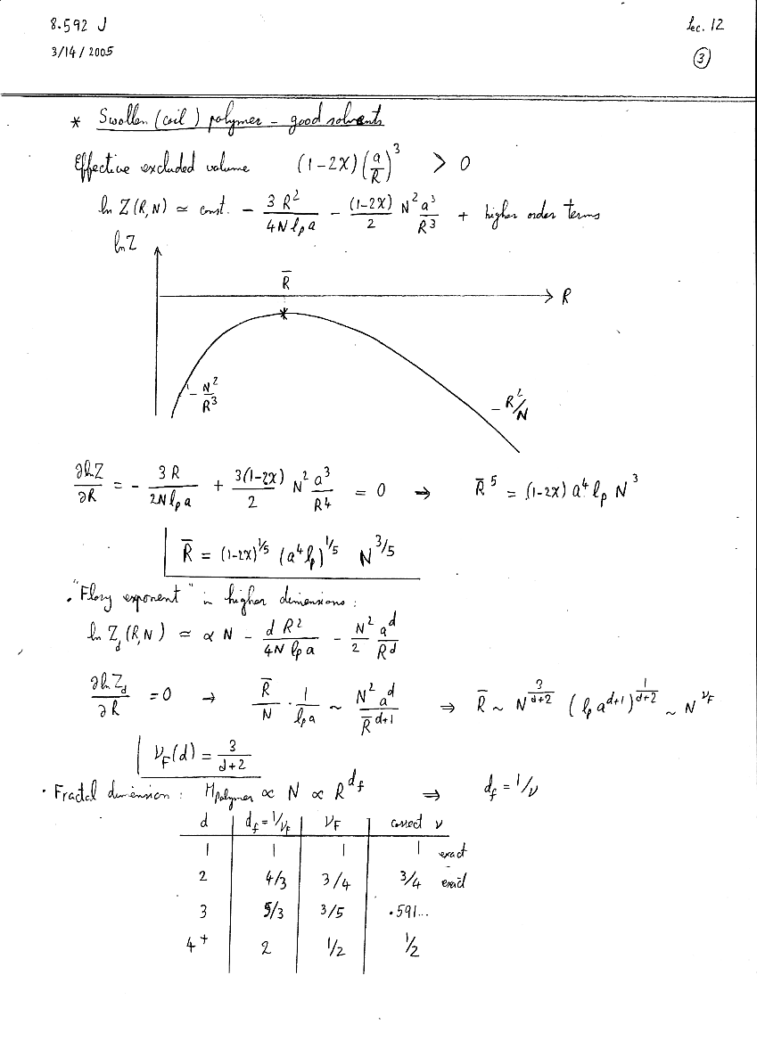
  2. Swollen (Coil) Phase in Good Solvents:
    • Flory Exponent
    • Scaling Behavior, Fractal Dimension (Lecture Notes, Page 3 (GIF))
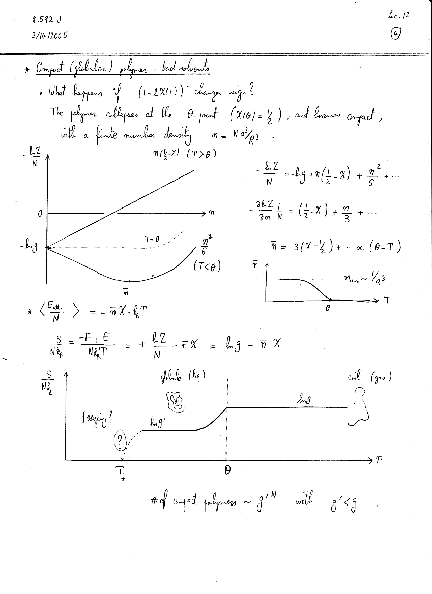
  3. Compact (Globular) Phase in Poor Solvents:
    • Polymer Collapse, Theta-point
    • Thermodynamic Behavior at the Transition; Reduction in Entropy (Lecture Notes, Page 4 (GIF))
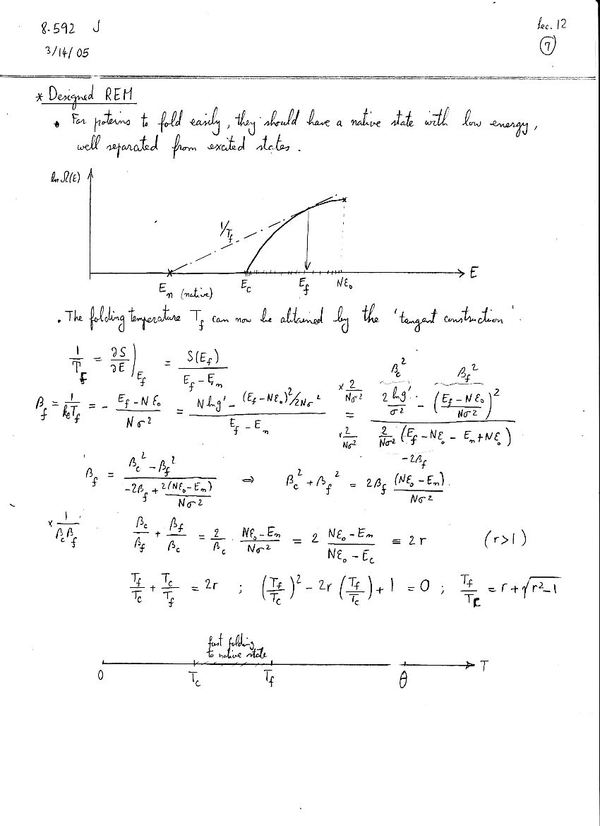
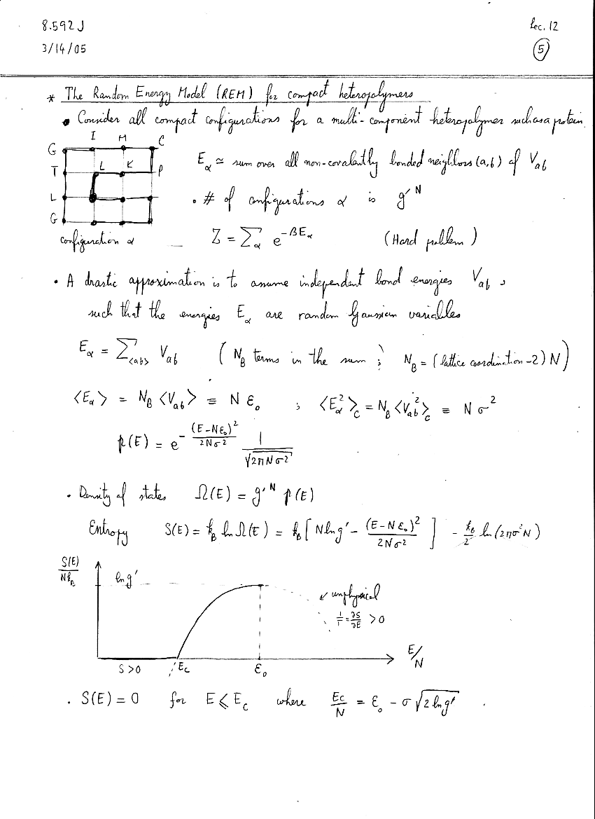
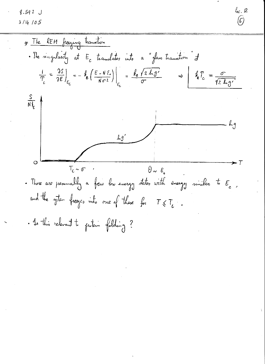
  4. Frozen (Folded) State of Heteropolymers:
    • The Random Energy Model (REM) (Lecture Notes, Page 5 (GIF))
    • The Freezing Transition and Associated Singularities (Lecture Notes, Page 6 (GIF))
    • Designed REM as a Model Protein (Lecture Notes, Page 7 (GIF))